반응형

지난 교육에서는 RF Plasma에서 플라즈마를 형성하고 유지할 수 있게 하는 Self bias effect에 대해서 알아보았습니다. 자기바이어스 효과는 전극 면적과도 밀접한 관계가 있습니다. 오늘 이 시간 주제는 전극면적과 자기바이어스 효과에 대해서 알아보겠습니다.

[질문 1]. 자기바이어스 효과에 대해서 설명하세요. [복습]

DC 직류 전압을 사용하는 DC Plasma와 달리 RF Plasma는 고주파의 교류전압을 사용하여 글로우방전을 일으킵니다. RF 고주파수 교류전압을 사용하는 이유는 DC Plasma에서 세라믹이나 비금속 등의 부도체 전극을 사용할 경우 플라즈마를 지속적으로 형성하고 유지할 수 없는 이슈가 발생했기 때문입니다. RF Plasma는 전극의 종류에 상관없이 방전을 일으킬 수 있습니다. 이는 전극의 극성을 빠르게 바꿔줌으로써 전극표면에 양이온이 축적되는 것을 방지할 수 있기 때문에 방전을 지속시킬 수 있게 됩니다.  

[질문 2]. 전극의 면적이 자기바이어스 효과에 미치는 영향에 대해서 설명하세요.

자기바이어스 효과는 RF Plasma에서만 나타나는 현상입니다. 교류 바이어스가 인가됐을 때, Sputtering 공정에서 source target이 loading되는 음극의 면적이 양극의 면적보다 작을 때, 단위 면적당 전극에 유입되는 전자의 양이 양극보다 작은 면적의 전극에 집중되기 때문에 자기바이어스 효과가 더 크게 나타납니다. 즉, 양극보다 더 큰 음의 전위를 가지게 됩니다. 그리고 RF Plasma에서 양단의 전극 면적이 같으면 등전위가 되면서 자기바이어스효과는 나타나지 않습니다. 그래서 보통 RF Sputter 시스템은 챔버가 접지가 되어있거나, 기판이 로딩되는 홀더 전체가 면적으로 작용하기 때문에 음극이 양극보다 훨씬 작고 효과적으로 Self bias effect가 나타나게 됩니다.

[꼬리 2-1]. Blocking capacitor의 역할에 대해서 설명하세요.

DC 직류전압을 RF 교류전압으로 바꾼다고 했을 때, 교류방전은 일어날 수 있지만 자기바이어스 효과는 나타나지 않습니다. 그 이유는 RF 파워를 이용하여 교류전압을 인가했을 때, 그 구성이 DC 직류전압을 순서대로 번갈아 전극에 인가하는 것에 지나치지 않기 때문입니다. 즉, 양쪽의 전극은 순서대로 DC 바이어스가 걸리는 양상입니다. 그렇기 때문에 방전은 일어나지만, 자기바이어스 효과는 나타나지 않습니다. 자기바이어스 효과는 오직 교류성분의 전압만 인가됐을 때, 나타나는 현상이기 때문입니다. 그래서 전극과 RF 파워 사이에 blocking capacitor를 연결하여 인가된 RF 파워에서 직류성분을 제거하고 전극에 교류성분만을 인가할 수 있게 되면서 자기바이어스 효과가 나타나게 되는 것입니다. 

[꼬리 2-2]. Blocking capacitor 없이 양 전극에 서로 다른 극성의 RF 교류전압을 인가하면 안되나요?

그것은 불가능합니다. 보통 Plasma를 이용한 sputtering system은 기판이 로딩되는 전극에 접지를 source target이 로딩되는 전극과 RF파워 사이에는 Blocking capacitor를 연결하는 구조를 가집니다. 여기서 중요한 점은 기판이 위치한 전극은 접지되어 있기 때문에 '0'의 전위를 가지고, 오직 source target이 위치한 전극의 극성만 바뀌는 것입니다.
그렇기 때문에 인가한 RF 교류전압은 직류성분을 포함하고 있어, Self bias effect가 나타나지 않는 것입니다. Blocking capacitor를 적용하며, RF 교류전압에 직류성분을 차단해주고 전극에 교류전압만 인가됐을 때, self bias effect가 나타나기 때문입니다.

[세부설명]

1. 전극 면적에 따른 자기바이어스 효과

DC Plasma와 달리 RF Plasma는 고주파의 교류전압을 인가하면 전극의 극성이 빠른 속도로 바뀌면서 전자와 양이온의 속도차이에 의해 Self bias effect 현상이 일어납니다. self bias effect에 따라 전제 Potential이 낮아지면서 전극이 음의 전위일 때, 양이온이 전극으로 가속돼 방전이 일어나 플라즈마를 형성합니다. 

RF Plasma에서는 DC Plasma 방전과 달리 전극 면적에 영향을 받습니다. DC Plasma에서는 음극과 양극의 면적이 같거나 혹은 음극의 면적이 작거나 혹은 양극이 작거나 전극 면적이 방전과 스퍼터링에 큰 의미가 없습니다. DC Plasma에서는 이미 한 전극에 음의 전위를 인가해주기 때문에, 가해진 바이어스 크기만큼의 전위차를 가지게 됩니다. 따라서, 전극의 면적에 관계 없이 음극에서 전압강하가 일어나고, 방전이 일어나 플라즈마가 형성됩니다.

RF Plasma에서는 음극의 전극 면적이 작을수록 더 큰 자기바이어스 효과가 나타납니다. 이전 교육에서 배운 Self bias effect는 전극에 RF 교류전압을 인가할 때만 나타나는 현상입니다. 위와 같이 sputtering에 source target이 loading 되는 음극의 면적을 작게하면, 단위시간당 전극으로 유입되는 전자의 양이 작은 면적의 전극으로 집중되기 때문에 비교적 넓은 양극보다 더 큰 음의 전위를 가지게 됩니다. 즉, 보다 더 큰 자기바이어스 효과가 나타난다는 것을 의미합니다. 

위 그림과 같이 두 전극의 한쪽 면적은 크고, 반대쪽 전극의 면적은 작은 상태에서 교류바이어스를 인가하게 되면, 작은 면적을 가진 전극 쪽에 전자가 밀집되면서 더 큰 음의 전위를 가지게 되고 자기바이어스 효과가 나타납니다. 

하지만 여기서 정말 중요한 점은 전극면적은 자기바이어스 효과를 키우는데 영향을 미치는 것이지 RF교류전압을 인가한다고 해서 자기바이어스 효과를 직접적으로 발생시키지는 않습니다. 즉, 무작정 양단의 전극에 DC 전압을 RF 교류전압으로 바꾼다고 해서 자기바이어스 효과가 나타나는 것이 아니라는 의미입니다.

2. Blocking Capacitor 
DC 전압을 RF 교류전압으로 인가한다 했을 때, 자기바이어스가 나타나지는 않습니다. DC를 RF로 바꾸면, 음극과 양극의 구분이 없어지게 됩니다. 그리고 V1=V2, 등전위가 되기 때문에 self bias effect가 나타나지 않습니다. 그래서 RF 교류전압을 인가한다고 해더라도, 양쪽이 똑같이 변하기 때문에 전극의 크기는 크게 영향을 미치지 못하게 됩니다. 하지만 위의 그림처럼 RF Generator와 전극 사이에 capacitor를 끼어 넣으면 self bias가 발생합니다. 이제부터 그 이유에 대해서 설명하도록 하겠습니다.

위와 같이 RF 교류전압을 인가했을 때, 교류 방전은 발생하지만 자기바이어스 효과는 나타나지 않습니다. 즉, Sputtering을 통한 박막 증착을 할 수 없다는 것을 의미합니다. 위와 같이 면적이 같을 때나, 한쪽의 면적이 크고 반대 쪽이 작을 경우에도 같은 등전위가 나타나기 때문입니다. 만일 200V의 전압을 인가했을 때, V1=200V, V2=0V → V1=0V, V2=200V와 같이 마치 DC 바이어스가 순서대로 번갈아 인가되는 것과 동일하다고 말할 수 있습니다. 자기바이어스 효과는 음극 쪽의 전위가 점점 음의 전위로 낮아지는 반면 위와 같은 경우는 그렇지 않습닌다. 

이렇게 되는 이유는 DC 직류전압과 RF 교류전압이 사실상 같은 구성을 가지기 때문입니다. 음극과 양극의 구분이 없어 양쪽 전극 모두 똑같이 변화하기 때문에 전극의 크기가 큰 의미가 없는 것입니다. 쉽게 말하면, 위와 같은 구성에서 RF교류전압을 인가하는 것은 DC 직류전압을 일정한 주기로 번갈아가면서 반복적으로 인가하는 것에 불과합니다. 형태는 교류이지만, DC 직류전압을 방향만 바꾸어 주어 인가하기 때문에 양쪽 전극에서 전압이 똑같은 등전위가 나타납니다. DC Plasma에서 전극면적은 방전과 무관하고 위와 같은 구성에서도 방전은 나타나지만 Self bias effect는 나타나지 않게 됩니다. 

"RF 교류전압을 인가하면 자기바이어스 효과가 나타난다고 하지 않았었나..?"
맞습니다. 자기바이어스는 전극에 '교류'만 가해질 때 나타나는 성질입니다. 즉, 전극은 전자 전류와 이온전류의 값이 같아지면서 평형에 이르게 되고 순전류가 0이 되어야 합니다. 그래서 직류성분을 제거하고 교류성분만 가해줄 수 있는 방법이 필요하게 되고, Capacitor를 사용하여 직류성분은 차단하고 교류성분만 통과시킵니다. 이때의 Capacitor는 직류전원을 차단하기 때문에 Blocking capacitor라고 부릅니다. 

Blocking capacitor를 전극과 RF Generator 사이에 연결하게 되면, 전극으로 교류만 통과할 수 있게 되면서 RF를 가동시키면 자기바이어스 효과가 나타납니다. blocking capacitor는 RF Power와 전극 사이에 흐르는 직류 전류를 차단하고 교류성분만을 통과시킵니다. 캐패시터에 전자가 충전되고, 전극은 전원으로부터 직접적인 전자를 공급 받지 못하기 때문에 Floating 전극과 같은 특성을 가지게 됩니다. floating potential 처럼 양이온 보다 빠른 전자의 유입양이 많아지게 되면서 이온은 적게 들어오고 전극은 음극을 띄게 됩니다. 

이온은 전자보다 속도가 매우 느립니다. 전위의 감소가 얼마나 빠르게 낮아지는지를 결정하는 것은 이온의 영향이 큽니다. 전극에 들어오는 이온의 양과 전자의 양이 같아질 떄까지 전체 전위가 낮아지는 자기바이어스 효과가 나타나고, 이때 전극의 면적이 영향도 나타나게 됩니다. 

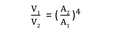
음극과 양극의 면적을 A1, A2 이라 했을 때, 양 전극에서 발생하는 Sheath 전압을 V1, V2라고 하면, 아래와 같이 Koening-Maissel 식에 따라 음극의 면접이 작을수록 자기바이어스 효과가 더욱 커지게 되는 것입니다. 음극의 면적 A1이 작으면 작을스록 음극의 sheath 전압 V1은 커지게 되는 것을 확인할 수 있습니다.

여기서 또한 중요한 점은 양쪽의 전극의 면적이 'A1=A2'로 같을 경우, V1=V2가 되므로 자기바이어스 효과는 나타나지 않습니다. 대부분의 Sputter 시스템은 양극인 기판쪽은 챔버와 함께 접지가 되어 있거나 혹은 기판이 로딩된 홀더 전체가 면적으로 작용하기 떄문에 보통 Sputter 시스템에서는 음극이 작을 수밖에 없습니다. 그렇기 때문에 RF Sputter에서 자기바이어스 효과는 효과적으로 나타나게 됩니다. 

결론을 말씀드리자면, Self bias effect는 RF power에 blocking capacitor가 있어야 하며 양극의 전극면적이 같으면 자기바이어스 효과는 나타나지 않습니다. 또한 cathode 전극의 면적이 작을수록 자기바이어스 효과는 크게 나타나게 됩니다. 

blocking capacitor가 없는 상태에서 자기바이어스가 나타나는 경우도 있습니다. 이는 source target을 부도체로 사용할 경우, 부도체가 유전체 역할을 함으로써 부도체 표면에 전하가 축적되면서 일종의 blocking capacitor 역할을 하기 때문입니다. 그래서 부도체를 source target으로 할 경우, target 자체가 blocking capacitor 역할을 하기 때문에 별도의 blocking capacitor 없이 자기바이어스 효과가 나타납니다. 


오늘은 RF Plasma의 Self bias effect에 대해서 알아보았습니다. 반드시 여러분들의 언어로 바꾸셔야 합니다. 이해가 안되거나 오류가 있는 부분이 있다고 생각하시면 꼭 피드백 부탁드리겠습니다.
오늘 하루도 고생 많으셨습니다.
충성!
from 교관 홍딴딴
반응형
그리드형(광고전용)
  • 네이버 블러그 공유하기
  • 네이버 밴드에 공유하기
  • 페이스북 공유하기
  • 카카오스토리 공유하기