반응형

이전 장에서는 Transistor의 주요 PCM Parameter에 대해서 다루어보았습니다. 오늘은 Passive Device의 PCM Parameter 측정방법에 대해서 알아보도록 하겠습니다.

[질문 1]. Sheet Resistance 측정에 대해서 설명하세요.

 Active, Poly 그리고 Metal Layer의 Sheet Resistance를 평가하기 위해 Kelvin Type 저항과 Bar Type 저항을 제작합니다. Kelvin type 저항은 Constant Current Source를 사용하여 일정 Current를 단자 1과 4 사이에 공급합니다. 그리고 단자 2와 3 사이의 전압차를 측정합니다. 측정된 전압차를 이용하여, 저항 값을 구할 수 있습니다. 저항의 전체 길이를 Line Width로 나눈 Square 수로 환산하면 Sheet Resistance를 구할 수 있습니다. Bar type 저항은 단자 1과 2 사이에 인가되는 전압을 저항을 통하여 흐르는 Current 값으로 나누어줌으로써 저항 값을 쉽게 구할 수 있습니다. 마찬가지로, 저항의 전체 길이를 Line Width로 나눈 Square로 환산하면 Sheet Resistance를 구할 수 있습니다. Bar Type 저항 Pattern에서는 Contact 및 Via 저항 성분이 포함되게 됩니다.

[Sheet Resistance 측정]
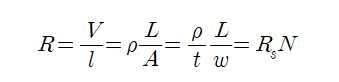
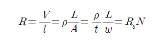
평소 우리가 알고 있는 저항을 구하는 방법은 Ohm's Law, 옴의 법칙입니다. 하지만 실제 Field 에서는 Sheet Resistance를 더 많이 사용합니다. 원하는 단면적 A와 길이 L을 가진 박막이 있을 때, 박막 소재의 고유 비저항 값에 비례하며, 길이가 단면적이 작아질수록, 길이가 길어질수록 저항값이 증가하는 특성이 옴의 법칙에 잘 녹아 있습니다. 

다시 한 번, 저항의 식을 살펴보면, 
저항은 위와 같이 표현됩니다. 여기서 면적 A를 자세히 살펴보면, 단면적 A는 증착한 박막의 Thickness, t 두께와 Width, w의 곱 t x w로 나타낼 수 있습니다. 그러면 위와 같이 식을 정리할 수 있습니다. 이때, 비저항을 두께로 나눈 값을 Rs, 그리고 길이 L을 Width로 나눈 값을 N으로 정의할 수 있습니다. 여기서 Rs는 Sheet Resistance, N을 Square Number라고 합니다. 

저항보다 Sheet Resistance를 더 많이 사용하는 이유는 매우 간단합니다. 반도체를 설계하는 사람들은 박막 소재의 비저항과 박막 Thickness 항에는 별로 관심이 없습니다. Top View에서 회로 배선을 Layout 할 때, 저항이 어느 정도 값을 가지는지에만 관심있습니다. 그래서 설계자가 Sheet Resistance, Rs만 알면, 배선의 Width, Length를 제어하면서 저항을 쉽게 구할 수 있습니다. Sheet Resistance는 아래에서 설명할 4-Point Probe 측정을 통해 쉽게 구할 수 있습니다.

[4-point Probe 탐침법]
Sheet Resistance는 위와 같이 4-Point Probe 측정을 통해 쉽게 구할 수 있습니다. 간단하게 원리를 설명하자면, 4개의 동일한 간격을 가지는 Probe를 측정하고자 하는 박막에 Contact 시킵니다. 이후 전류원으로 일정한 전류를 1번 4번 탐침에 공급해주고, 2번 3번의 전압차이를 구합니다. 이때 2번 3번 전압계는 저항이 매우 높기 때문에 Current가 흐르지 않습니다. 그러면 Ohm's Law에 따라 R=V/I로 저항을 쉽게 구할 수 있습니다. 4-point Probe의 장점은 일반 저항 측정과 달리 Contact Resistance를 배제할 수 있어 더 정확한 측정을 할 수 있다는 장점이 있습니다.

이를 응용하여 4-point Probe 측정을 통해 박막 Thickness를 쉽게 구할 수 있습니다. 연구실에서 박막 Thickness Reference를 Check했던 경험을 간략하게 설명드리겠습니다. 우선 원하는 박막을 증착한 후에 4-point Probe 측정을 통해 Sheet Resistance를 구합니다. 그리고 SEM 측정을 통해 박막 시료의 Cross Section을 측정하고, 증착된 박막의 Thickness를 List-up 합니다. Process Variation을 달리하여, 4-point Probe와 박막 Thickness를 측정하고 List-up 하다보면, Reference가 완료됩니다. 이후에는 박막 증착 이후 4-point Probe를 측정하여 나온 Sheet Resistance 값을 Reference와 Matching 해보면 SEM 측정을 굳이 하지 않아도 ~99.9% 일치하는 박막 Thickness를 얻을 수 있었습니다. 

[꼬리 1.1]. Contact 및 Via Resistance 측정에 대해서 설명하세요.

회로 배선에서는 여러 층의 Metal Layer를 사용합니다. Metal 배선들은 Contact과 Via로 서로 연결됩니다. Contact 및 Via의 Resistance를 측정할 때는 Contact/Via의 단일 저항값을 측정하는 Kelvin Type과 수 많은 Contact/Via 들이 연결되는 Chain Type, 2가지로 구분됩니다. Chain Pattern에서는 Contact/Via가 직렬로 연결되기 때문에, Contact/Via Resistance 값의 Uniformity를 평가할 수 있습니다. Kelvin Type은 Line 저항을 평가할 때와 동일합니다. 일정 전류를 단자 1과 4에 공급하고, 단자 2와 3의 전압차이를 측정합니다. 측정된 전압을 이용하여 저항값을 구할 수 있습니다. Chain Type은 Bar Type 저항 측정과 동일합니다. 일정 전압을 인가한 후에 Chain Pattern을 통하여 흐르는 전류량을 측정하여 단일 Contact/Via Resistance를 구합니다.


[질문 2]. Diode 측정에 대해서 설명하세요.

 N+ Active/P-well 및 P+Active/N-well로 형성되는 Junction Diode를 평가하기 위해서는, 여러가지 형태의 Test Pattern을 제작합니다. Junction Leakage는  크게 2가지 성분으로 구분되는데, Area 성분과 Peri. 성분입니다. 각각의 Leakage Current 성분을 분석하기 위해서는 Flat Type이나 Peri. Type 등의 Test Pattern을 제작합니다. 측정방법은 Reverse Bias (N+Active (+) / P-well (-), P+Active (-) / N-well (+)를 인가하여 Diode를 통해 흐르는 전류를 평가합니다. Reverse Bias가 증가할수록 Leakage Current는 증가하다가 Avalanche Breakdown이 발생합니다. 한편, Gate Poly-Si를 Active 중간에 형성하여 Gate Etch 시 Damage 등에 의한 Junction Leakage 열화를 평가하기 위한 Gated Diode도 제작합니다.

Junction Diode를 이용하여, Capacitance도 측정합니다. Leakage Current 측정시와 동일하게 Reverse Bias를 인가하여 Cjn을 측정합니다. Cjn은 N+P-well Junction에 Reverse Bias가 증가함에 따라 Depletion Region이 증가하고 Cjn은 감소하게 되면서, 그 감소량은 1/Vr에 비례합니다.

Junction Diode의 Leakage Current 및 Junction Diode의 C-V 곡선


[질문 3]. Capacitor 측정에 대해서 설명하세요.

Transistor의 Gate Oxide를 평가하기 위하여, Gate Capacitor를 제작합니다. Gate 전극에 인가되는 Bias에 의해 Accumulation 및 Inversion 상태에서의 Capacitance를 평가하기 위해서는 Source/Drain 영역의 Active에 Bias 단자가 형성되어 있어야 합니다. 순수한 Gate Oxide Quality를 평가할 때에는 Capacitor를 사용하며, Active의 형태 및 Poly 형태를 변화시킨 Test Pattern들도 제작합니다. Gate Capacitor에서 측정되는 C-V 특성곡선을 보면, Inversion 영역에서의 C값이 작은 것을 확인할 수 있습니다. 이는 Oxide와 인접한 Poly-Si Gate에 형성되는 Depletion Region의 Depletion Capacitance 성분이 포함되며, 순수 Oxide와 Capacitance 값보다 작아지게 됩니다. 따라서, Gate Oxide Thickness가 얇아질수록 이러한 Poly Depletion Effect가 상대적으로 커지게 됩니다.


여러분들 오늘까지 해서 PCM Parameter와 측정방법 Test Pattern에 대해서 알아보았습니다. 
오늘 하루도 고생 많으셨습니다. 감사합니다. 
충성! From 교관 홍딴딴.
반응형
그리드형(광고전용)
  • 네이버 블러그 공유하기
  • 네이버 밴드에 공유하기
  • 페이스북 공유하기
  • 카카오스토리 공유하기