반응형

반도체소자 상병 단계


Body effect는 threshold voltage, Vt에 많은 영향을 미칩니다.
Body effect를 완전히 이해한다면 반도체 소자 부문에서 우수교육생 수준이라 할 수 있습니다.

[질문 1]. Body Effect에 대해서 설명하세요.

  • Keyword : [Threshold voltage, Capacitor, 바디효과 최소화]
Body Effect는 threshold modulation이라고도 표현합니다. 간단하게 말하면 문턱전압이 기판바이어스의 함수가 되는 현상을 body effect라고 합니다. 결론부터 말씀드리면, Body에 negative bias를 인가하면 threshold voltage는 증가하게 되고 비이상적인 소자의 특성은 body effect와도 관련이 있습니다.

[꼬리 1-2]. Body Effect의 원인에 대해서 설명해보세요.

게이트 전압을 인가 시 반전층이 생성된 MOSFET 소자를 보면, 반전층 즉 채널은 Source와 Drain 사이에 있는 1-2nm의 저항성 박막이라고 간주할 수 있습니다. 이때 게이트 관점에서 이 채널은 전하 캐리어로 가득차 있고 캐리어가 존재하지 않는 Depletion 영역을 포함하여 커패시터 2개가 직렬로 연결되어 있는 구조입니다. gate bias 뿐 아니라 body bias에 의해서 capacitance 값의 변화가 생기게 되고, gate voltage 인가 시, 공핍 캐패시턴스에 voltage divid가 발생하여 threshold voltage에 영향을 끼치는 것입니다.

1. Gate/SiO2 oxide/Channel, (유전체 : SiO2)
2. Channel/Depletion Region(공핍층)/Body, (유전체 : Depletion region)
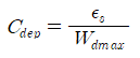
공핍캐패시턴스

 공핍캐패패시턴스는 위와 같이 표현합니다. 공핍캐패시턴스의 값은 'C=QV=εA/d'의 관계를 가지며, d=Wdmax 일 때, 공핍캐패시턴스 값은 최소가 됩니다. C-V 곡선에서 Cmin 값은 공핍층의 두께가 최대일 때를 의미합니다. 다시 말해서, 공핍층의 두께가 커질수록 Channel/Depletion region/Body 캐패시터의 캐패시턴스가 감소하게 되는 것입니다. 
 
Source와 body는 보통 GND로 잡혀있으며, 이때 게이트전압에 의해 형성된 반전층의 전하량은 다음과 같습니다.


하지만 Vs와 Vb가 전위차를 가지게 되면, source와 body 사이에는 Vsb 전위가 형성되고 Channel과 Body 캐패시터에 Cdep 캐패시턴스 값에 의해 Qinv = Cdep*Vsb (Q=CV공식) 전하가 유도됩니다. 따라서 Vs=Vb일 때와 다르게 반전층의 총전하량은 다음과 같습니다.

Source는 GND로 고정되어 있고, Vb에 양의 전압이 인가될 경우, 'Vsb=Vs-Vb<0'의 조건이 되며 Vb 양의 값을 가지게 되면 Source와 body는 n+p junction 이기에 PN-diode 관점에서 turn on이 되어 전류가 형성됩니다. 따라서 NMOS 기준, Body bias에 양의 전압을 줄 수 없는 것이죠. (꼬리1-3의 의도). 

그렇다면 Vb에 음의 전압을 인가할 경우, source와 body, drain과 body 모두 n+p junction이고 PN diode 관점에서 reverse bias가 인가됩니다. 그래서 p-type body의 다수캐리어인 정공이 body 단자 쪽으로 이동하게 됩니다.  소수캐리어인 전자는 단자로부터 멀어지고 x=Wdmax로 이동합니다. (Channel/Depletion region/Body는 캐패시터 구조이기 때문에 x=Wdmax 계면이 캐패시터 구조로 봤을 때 절연체/전극 계면이라 할 수 있기에, 전자가 x=Wdmax로 이동하게 됩니다.) 위 식을 이제 보기 편하게 간단하게 만들어 보겠습니다.

Body effect는 면접관님께서 질문한 '질문1'의 답변과 같이 threshold voltage, Vt가 body bias 의 함수가 되는 현상이라고 답변했습니다. Vt는 body bias에 종속되는 것이죠. 이를 Vt의 식으로 변경하면 다음과 같습니다. (Q=CV 이용).

정말 중요한 상수가 나왔습니다. "Cdep/Cox" 이 식을 절대 잊으면 안됩니다. 이걸로 Short Channel Effect, Subthreshold Swing, Drain Current 할 때마다 계속 나올 것입니다. α는 body effect coefficient, '바디효과계수'입닏나. 이는 공핍캐패시턴스와 oxide 캐패시턴스와의 경쟁입니다. 이상적인 소자가 되기 위해서는 Depletion capacitance 값이 작아야 하며, oxide capacitance 성분이 커지게 되면서 인가된 gate voltage가 온전히 oxide에 인가되면서 gate의 영향력이 증가해 누설전류를 줄일 수 있습니다. 현재 소자 미세화의 기술들은 이쪽에 모두 focusing이 되어 있죠. depletion capacitance를 줄인다는 것은 기생 캡 성분을 줄인다는 것을 의미합니다. 

Cdep/Cox를 C=εA/d 식을 적용하면 Tox는 oxide thickness, Wdmax는 공핍층 두께가 됩니다. 3은 SiO2(3.9)와 Si(11.7)의 유전율 비에서 유도된 것입니다. 

NMOS 기준으로, 식을 보면 Vt(Vsb)=Vt0+αVsb에서 Vb의 negative bias 인가시, Vs-Vb는 양의 값을 가지게 되고 Vt가 증가한다는 것을 유추할 수 있습니다. '질문1'의 답변이 해결됐죠.

이렇게 Vt가 Vb, body bias에 따라 변하는 것을 최종적으로 Body Effect라고 정의합니다.

물리적으로 왜 Body bias에 negative bias 인가 시 Vt가 증가하는지 물리적인 설명은 [꼬리1-3]을 참조해주세요. 그리고 Body Effect를 최소화 하는 이유에 대해서는 [꼬리1-4]를 참고해주세요.

결론부터 말씀드리자면 Body Effect는 최소화 해야 합니다. 다음 장에서 더 자세히 다루겠지만, 포화전류는 아래와 같은 식을 따릅니다.

 m은 'body factor'입니다. 'm=1+α=1+Cdep/Cox=1+3Tox/Wdmax' 입니다. 학부 때 배웠던 포화전류 식은 이상적인 소자이기 때문에 body factor=1로 간주하고 계산했습니다. body factor가 '1'이다?.  즉 α=0, 바디효과계수가 0이다. 즉, 'body effect가 없다'는 것을 전제로 했습니다. 하지만 '이상적인' 것은 없죠. 그래서 이상적인 소자의 성능에 근사하기 위해, body effect를 최소화 시켜야 하고, body effect를 최소화 시키기 위해서는 Oxide capacitance를 크게, Depletion capacitance(기생캐패시턴스)는 작게 만들어야 합니다. 하지만 소자 사이즈가 작아지면서 기새캡 성분들이 커지게 되고 (Cdep=εA/d에서 d가 엄청 작아지기에, Cdep가 증가) 그러기 위해서 oxide capacitance의 값을 증가시켜야 합니다. oxide capacitance 값을 증가시키기 위해, Oxide thickness를 줄이는 방식을 취했고, oxide thickness를 줄이는 것에 한계에 다다르자, high-k materials을 도입하게 된 것입니다. High-k materials 도입하는데 gate dielectric 효과 때문에 poly-Si이 metal gate로 바뀌게 됩니다. (HKMG 공정 기술)

소재, 공정 기술의 도입의 이유를 논리적으로 흐름에 맞게 이해하시면 면접 때도 논리적으로 말씀하실 수 있을 것이에요.  


[꼬리 1-3]. Body에 negative bias 인가 시 threshold voltage가 왜 증가하나요.

NMOSFET 기준으로 설명드리겠습니다. Body에 Negative bias를 인가하면 body 내의 일부 정공들이 Body 쪽으로 이동하면서 Depletion region이 확장됩니다. 반전층은 전자로 이루어져 있고, 채널 내의 전자의 밀도는 증가합니다. 반전층의 전자 밀도가 증가하면서 채널이 두꺼워지면서 문턱전압이 약간 낮아지는 효과가 있습니다. 하지만 source와 body, Drain과 body의 junction은 Body에 negative bias 인가시 Reverse bias 역방향 바이어스에 해당합니다. 그로 인해 Source/body/drain junction에 의해 공핍영역은 크게 확장되고 body 내부의 전자들이 공핍층 내부의 이온격자 산란에 의해 계면쪽으로 이동하는데 더 큰 힘이 필요하게 됩니다. 따라서 body에 negative bias를 인가하면 Threshold voltage가 증가하는 것입니다. 

[꼬리 1-4]. 그럼 Body Effect로 문턱전압을 조절할 수 있다고 하는데, 좋은거에요. 나쁜거에요.

Body effect는 threshold voltage를 modulation 할 수 있는 특징을 가지고 있지만, 회로의 관점에서 body effect는 최소화 되어야 합니다. 트랜지스터는 switching 특성도 있지만 신호의 증폭 즉, 전압이득을 얻습니다. MOSFET으로 구성된 Logic 회로에서 source와 body가 GND에 물려있지만, 회로 구성에 따라 body에 전압이 인가된 경우가 있습니다. 이때 body bias가 negative 값을 가지면, threshold voltage가 증가하게 되고 전류가 작아지는 결과를 초래하여 결국 속도가 저하되는 문제를 발생시킵니다. 
 정리하자면, Body Effect는 Threshold voltage가 body bias에 함수가 되는 현상이고, threshold voltage를 작게 가져가면 좋지만, 그만큼 안정된 값을 가지는 것도 중요합니다. body effect가 클수록 작은 body bias 변화에 의해 문턱전압은 변하게 됩니다. 따라서 Threshold voltage가 body bias에 둔감할수록 회로가 최적의 동작을 하게 되므로 body effect는 최소화 되어야 합니다.  

[꼬리 1-5]. Body Effect 최소화 하러면 어떻게 해야 하는지 설명해보세요.

Body Effect를 최소화 하기 위해서는 body effect coefficient, 바디효과계수를 줄여야 합니다. 바디효과계수를 줄이기 위해서는 공핍캐패시턴스 값을 최소화 하고 oxide 캐패시턴스 값을 증가시켜야 합니다. 그러기 위해서는 gate oxide의 thickness를 줄이는 방법이 있습니다. 하지만 oxide thickness를 계속적으로 줄이다보니 터널링에 의한 누설전류가 증가하는 이슈가 발생했습니다. 그래서 도입 된 것이 high-k materials를 사용함으로써 물리적인 dimension은 향상시키고 전기적인 dimension을 감소시킴으로써 oxide capacitance를 향상시킬 수 있습니다. high-k materials의 도입은 body effect를 최소화 시킬 수 있습니다. 그 외적으로도 retrograde body doping 과 같은 바디경사도핑 기술이 있으며, FD-SOI (Fully Depletion Silicon on Insulator) 기술이 있습니다. 또한 기생캐패시턴스 성분을 줄이기 위한 shallow depth doping profile을 채택하고 있습니다.

더 디테일한 교육은 Short Channel Effect와 같은 비이상적 효과를 개선하기 위한 기술을 설명하면서 상세하게 설명하겠습니다. 현재 와닿지 않을 수 있지만 모든 것을 알 필요가 없습니다. 직무면접에서는 간단하게 3~4문장만 말씀하시면 됩니다. 다음 교육에서 틈틈히 보강하도록 할테니 포기하지 마십시오. 금일 교육 잘 따라와주신 교육생 여러분들 고생하셨습니다.
충성!
반응형
그리드형(광고전용)
  • 네이버 블러그 공유하기
  • 네이버 밴드에 공유하기
  • 페이스북 공유하기
  • 카카오스토리 공유하기